The Parameter Estimates for Original Predictors report gives estimates and other results for all parameters in the model. The initial table includes the coefficients for the predictors in the model. An additional table includes other model parameters such as scale, dispersion, or zero inflation parameters. See Distribution. Both tables include the same columns of results.
The standard error of the estimate. This is obtained using M-estimation and a sandwich formula (Zou 2006 and Huber and Ronchetti 2009).
The p-value for the Wald test.
The lower bound for a 95% confidence interval for the parameter. You can change the α level in the Fit Model window by selecting Set Alpha Level from the red triangle menu.
The upper bound for a 95% confidence interval for the parameter. You can change the α level in the Fit Model window by selecting Set Alpha Level from the red triangle menu.
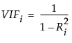
where Ri 2 is the RSquare for the regression of xi as a function of the other explanatory variables.

