This section gives the density functions f for the distributions used in the Process Capability platform. It also gives expected values and variances for all but the Johnson distributions.
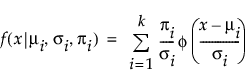
where μi, σi, and πi are the respective mean, standard deviation, and proportion for the ith group, and
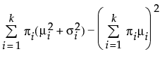
is the standard normal probability density function. For the Mixture of 2 Normals, k is equal to 2. For the Mixture of 3 Normals distribution, k is equal to 3. A separate mean, standard deviation, and proportion of the whole is estimated for each group in the mixture.
is the standard normal probability density function. For the Mixture of 2 Normals, k is equal to 2. For the Mixture of 3 Normals distribution, k is equal to 3. A separate mean, standard deviation, and proportion of the whole is estimated for each group in the mixture.
,
,
, 
,
,
, 


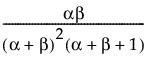
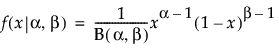
is the Beta function.
,
, 
,
,
, 
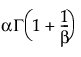
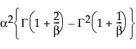
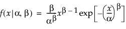
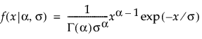
is the gamma function.
,
,
, 
, 

,
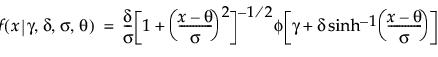
, 
is the standard normal probability density function.
,
,
, 





,
, 


is the gamma function.