JMP 14.2 Online Documentation (English)
Discovering JMP
Using JMP
Basic Analysis
Essential Graphing
Profilers
Design of Experiments Guide
Fitting Linear Models
Predictive and Specialized Modeling
Multivariate Methods
Quality and Process Methods
Reliability and Survival Methods
Consumer Research
Scripting Guide
JSL Syntax Reference
JMP iPad Help
JMP Interactive HTML
Capabilities Index
JMP 13.2 Online Documentation
Multivariate Methods
•
Correlations and Multivariate Techniques
•
Computations and Statistical Details
• Pearson Product-Moment Correlation
For the latest version of JMP Help, visit
JMP.com/help
.
Previous
•
Next
Pearson Product-Moment Correlation
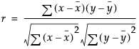
The Pearson product-moment correlation coefficient measures the strength of the linear relationship between two variables. For response variables
X
and
Y
, it is denoted as
r
and computed as follows:
If there is an exact linear relationship between two variables, the correlation is 1 or –1, depending on whether the variables are positively or negatively related. If there is no linear relationship, the correlation tends toward zero.
Previous
•
Next
Help created on 3/19/2020