|
1.
|
|
2.
|
Select Graph > Legacy > Chart.
|
|
3.
|
|
4.
|
Click OK.
|
|
1.
|
|
2.
|
Select Graph > Legacy > Chart.
|
|
3.
|
|
4.
|
|
5.
|
Click OK.
|
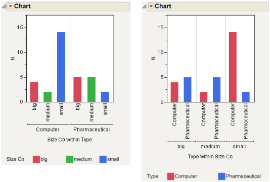
The bar chart on the left in Figure 14.13 shows the levels for the size of computer companies and of pharmaceutical companies. The bar chart on the right shows the results if you first selected Size Co and then Type as category variables.

