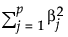
An l2 penalty is applied to the regression coefficients during ridge regression. Ridge regression coefficient estimates are given by the following:
is the l2 penalty, λ is the tuning parameter, N is the number of rows, and p is the number of variables.An l∞ penalty is applied to the regression coefficients during Dantzig Selector. Coefficient estimates for the Dantzig Selector satisfy the following criterion:
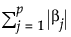
An l1 penalty is applied to the regression coefficients during Lasso. Coefficient estimates for the Lasso are given by the following:
is the l1 penalty, λ is the tuning parameter, N is the number of rows, and p is the number of variablesThe Elastic Net combines both l1 and l2 penalties. Coefficient estimates for the Elastic Net are given by the following:
|
•
|
|
•
|
|
•
|
λ is the tuning parameter
|
|
•
|
|
•
|
N is the number of rows
|
|
•
|
p is the number of variables
|
Tip: There are two sample scripts that illustrate the shrinkage effect of varying α and λ in the Elastic Net for a single predictor. Select Help > Sample Data, click Open the Sample Scripts Directory, and select demoElasticNetAlphaLambda.jsl or demoElasticNetAlphaLambda2.jsl. Each script contains a description of how to use it and what it illustrates.
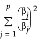
The adaptive Lasso method uses weighted penalties to provide consistent estimates of coefficients. The weighted form of the l1 penalty is
For the adaptive Lasso, this weighted form of the l1 penalty is used in determining the
coefficients.
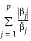
coefficients.The adaptive Elastic Net uses this weighted form of the l1 penalty and also imposes a weighted form of the l2 penalty. The weighted form of the l2 penalty for the adaptive Elastic Net is
Statistical Details for Estimation Methods
Ridge Regression
,
Dantzig Selector
denotes the
Lasso Regression
,
Elastic Net
,
is the
is the
Adaptive Methods
,
is the MLE when the MLE exists. If the MLE does not exist and the response distribution is normal, estimation is done using least squares and
is the solution obtained using a generalized inverse. If the response distribution is not normal,
is the ridge solution.
,
is the MLE when the MLE exists. If the MLE does not exist and the response distribution is normal, estimation is done using least squares and
is the solution obtained using a generalized inverse. If the response distribution is not normal,
is the ridge solution.