JMP 14.2 Online Documentation (English)
Discovering JMP
Using JMP
Basic Analysis
Essential Graphing
Profilers
Design of Experiments Guide
Fitting Linear Models
Predictive and Specialized Modeling
Multivariate Methods
Quality and Process Methods
Reliability and Survival Methods
Consumer Research
Scripting Guide
JSL Syntax Reference
JMP iPad Help
JMP Interactive HTML
Capabilities Index
JMP 13.2 Online Documentation
Predictive and Specialized Modeling
•
Time Series Analysis
•
Statistical Details for the Time Series Platform
• Statistical Details for Spectral Density
For the latest version of JMP Help, visit
JMP.com/help
.
Previous
•
Next
Statistical Details for Spectral Density
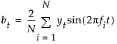
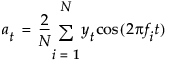
The least squares estimates of the coefficients of the Fourier series are computed as follows:
Then the
f
i
=
i/N
are combined to form the periodogram
I
(
f
i
) = (
N
/2)(
a
i
2
+
b
i
2
), which represents the intensity at frequency
f
i
.
The periodogram is then smoothed and scaled by 1/(4
π
) to form the spectral density.
Previous
•
Next
Help created on 3/19/2020