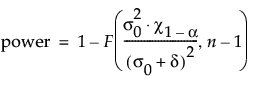
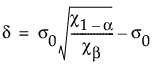
σ0 is the hypothesized standard deviation.
σ is the true standard deviation
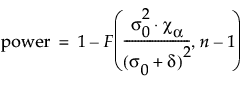
σ0 is the hypothesized standard deviation.
σ is the true standard deviation



