For the latest version of JMP Help, visit JMP.com/help.

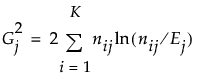
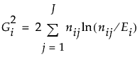
nij is the count for Cause i in Group j.
Ej is the expected count for Group j. This is the mean count of each group, across causes.
Ei is the expected count for Cause i. This is the mean count of each cause, across groups.

Help created on 3/19/2020