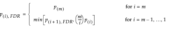
All of the Response Screening plots involve p-values for tests conducted using the FDR technique described in Benjamini and Hochberg (1995). See also Westfall et al. (2011). This method assumes that the p-values are independent and uniformly distributed.
|
1.
|
|
2.
|
|
3.
|
|
4.
|
If a hypothesis has an FDR-adjusted p-value that falls below α, then it is rejected by the procedure.
.
. Suppose this first 