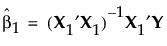
The Alias Matrix entries represent the degree of bias imparted to model parameters by the effects that you specified in the Alias Terms outline. The Alias Matrix is also used in defining alias optimality. See Alias Optimality in Custom Designs.
Calculations for the Alias Matrix are based on the model matrix. See Model Matrix in Custom Designs.
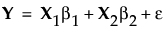
Let X1 be the model matrix corresponding to the terms in the Model outline. Denote the matrix of model terms for the effects specified in the Alias Terms outline by X2.



is given by:
.