JMP 14.0 Online Documentation (English)
Discovering JMP
Using JMP
Basic Analysis
Essential Graphing
Profilers
Design of Experiments Guide
Fitting Linear Models
Predictive and Specialized Modeling
Multivariate Methods
Quality and Process Methods
Reliability and Survival Methods
Consumer Research
Scripting Guide
JSL Syntax Reference
JMP iPad Help
JMP Interactive HTML
Capabilities Index
JMP 13 Online Documentation
JMP 12 Online Documentation
Quality and Process Methods
•
Shewhart Control Charts
•
Statistical Details for the Control Chart Platform
• Control Limits for UWMA Charts
Previous
•
Next
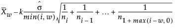
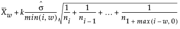
Control Limits for UWMA Charts
Control limits for UWMA charts are computed for each subgroup
i
as follows.
LCL
i
=
UCL
i
=
where:
w
is the span parameter (number of terms in moving average)
n
i
is the sample size of the
i
th
subgroup
k
is the number of standard deviations
X
w
is the weighted average of subgroup means
is the estimated process standard deviation
Previous
•
Next
Help created on 7/12/2018