Effect leverage plots are also referred to as partial-regression residual leverage plots (Belsley et al. 1980) or added variable plots (Cook and Weisberg 1982). Sall (1990) generalized these plots to apply to any linear hypothesis.
In the Effect leverage plot, only one effect is hypothesized to be zero. However, in the Whole Model Actual by Predicted plot, all effects are hypothesized to be zero. Sall (1990) generalizes the idea of a leverage plot to arbitrary linear hypotheses, of which the Whole Model leverage plot is an example. The details from that paper, summarized in this section, specialize to the two types of plots found in JMP.
For each observation, consider the point with horizontal axis value vx and vertical axis value vy where:
|
•
|
vx is the constrained residual minus the unconstrained residual, r0 - r, reflecting information left over once the constraint is applied
|
|
•
|
These points form the basis for the leverage plot. This construction is illustrated in Figure 2.68, where the response mean is 0 and slope of the solid line is 1.
Figure 2.68 Construction of Leverage Plot
These confidence curves give a visual assessment of the significance of the corresponding hypothesis test, illustrated in Figure 2.57:
|
•
|
Borderline: If the t test for the slope parameter is sitting right on the margin of significance, the confidence curve is asymptotic to the horizontal line at the response mean.
|
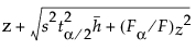
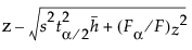
Leverage plots mirror this thinking by displaying confidence curves. These are adjusted so that the plots are suitably centered. Denote a point on the horizontal axis by z. Define the functions
These functions behave in the same fashion as do the confidence curves for simple linear regression:
|
•
|
If the F statistic is greater than the reference value, the confidence functions cross the horizontal axis.
|
|
•
|
If the F statistic is equal to the reference value, the confidence functions have the horizontal axis as an asymptote.
|
|
•
|
If the F statistic is less than the reference value, the confidence functions do not cross.
|
Also, it is important that Upper(z) - Lower(z) is a valid confidence interval for the predicted value at z.





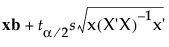
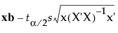
and
. The plotted points are given by (
, 




is the reference value for significance level
, where
is a row vector consisting of suitable middle values for the predictors, such as their means.