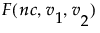
To compute power, you make use of the noncentral F distribution. The formula (O’Brien and Lohr 1984) is given as follows:
Power = Prob(F > Fcrit, ν1, ν2, nc)
F is distributed as the noncentral and is the 1 - α quantile of the F distribution with ν1 and ν2 degrees of freedom.
ν1 = r -1 is the numerator df.
ν2 = r(n -1) is the denominator df.
n is the number per group.
r is the number of groups.
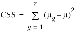
nc = n(CSS)/σ2 is the non-centrality parameter.
μg is the mean of the gth group.
μ is the overall mean.
σ2 is estimated by the mean squared error (MSE).

Help created on 7/12/2018