JMP 14.0 Online Documentation (English)
Discovering JMP
Using JMP
Basic Analysis
Essential Graphing
Profilers
Design of Experiments Guide
Fitting Linear Models
Predictive and Specialized Modeling
Multivariate Methods
Quality and Process Methods
Reliability and Survival Methods
Consumer Research
Scripting Guide
JSL Syntax Reference
JMP iPad Help
JMP Interactive HTML
Capabilities Index
JMP 13 Online Documentation
JMP 12 Online Documentation
Fitting Linear Models •
Generalized Regression Models
•
Statistical Details for the Generalized Regression Personality
• Statistical Details for Distributions
Previous
•
Next
Statistical Details for Distributions
The distributions fit by the Generalized Regression personality are given below in terms of the parameters used in model fitting. Although it is not specifically stated as part of their descriptions, the Generalized Regression personality enables you to specify non-integer values for the discrete distributions.
Continuous Distributions
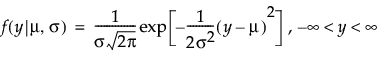
Normal Distribution
Cauchy Distribution
Exponential Distribution
Gamma Distribution
Weibull Distribution
LogNormal Distribution
Beta Distribution
Discrete Distributions
Binomial Distribution
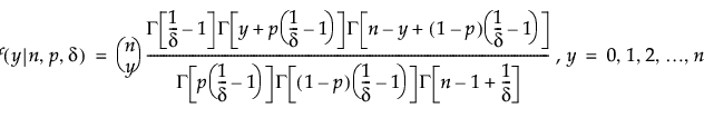
Beta Binomial Distribution
Poisson Distribution
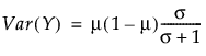
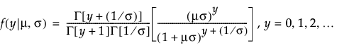
Negative Binomial Distribution
Zero-Inflated Distributions
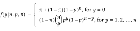
Zero-Inflated Binomial Distribution
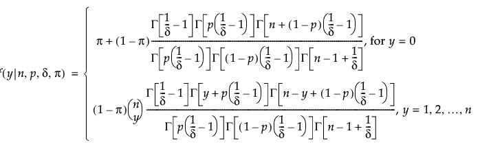
Zero-Inflated Beta Binomial Distribution
Zero-Inflated Poisson Distribution
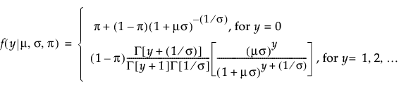
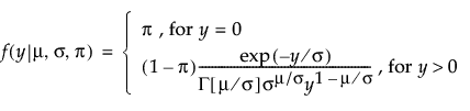
Zero-Inflated Negative Binomial Distribution
Zero-Inflated Gamma Distribution
Previous
•
Next
Help created on 7/12/2018