μt is the time-varying mean term
βt is the time-varying slope term
s(t) is one of the s time-varying seasonal terms
at are the random shocks
Models without a trend have βt = 0 and nonseasonal models have s(t) = 0. The estimators for these time-varying terms are defined as follows:
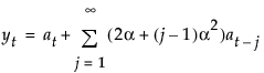
α is the level smoothing weight
γ is the trend smoothing weight
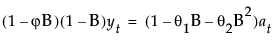
ϕ is the trend damping weight
δ is the seasonal smoothing weight
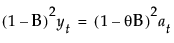
The smoothing equation, Lt = αyt + (1 – α)Lt-1, is defined in terms of a single smoothing weight α. This model is equivalent to an ARIMA(0, 1, 1) model where the following is true:
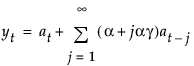
The smoothing equations, defined in terms of a single smoothing weight α, are defined as follows:
This model is equivalent to an ARIMA(0, 1, 1)(0, 1, 1)1 model where the following is true:
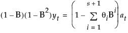
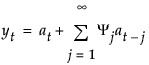
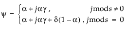
This model is equivalent to a seasonal ARIMA(0, 1, s+1)(0, 1, 0)s model defined as follows:

where 



where
with 



with
and 













where 





