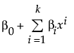
Table 11.1 provides the formulas for the models on the Fit Curve red triangle menu.
|
where k is the order of the polynomial. These models can also be fit using the Fit Model and Fit Y by X platforms.
|
|
|
a = Growth Rate
b = Inflection Point
|
|
|
a = Growth Rate
b = Inflection Point
c = Asymptote
|
|
|
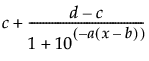
a = Growth Rate
b = Inflection Point
c = Lower Asymptote
d = Upper Asymptote
|
|
|
a = Growth Rate
b = Inflection Point
c = Lower Asymptote
d = Upper Asymptote
|
|
|
a = Growth Rate
b = Inflection Point
c = Lower Asymptote
d = Upper Asymptote
|
|
|
a = Growth Rate
b = Inflection Point
c = Asymptote 1
d = Asymptote 2
f = Power
|
|
|
a = Growth Rate
b = Inflection Point
Φ = Normal Distribution CDF
|
|
|
a = Growth Rate
b = Inflection Point
c = Asymptote 1
d = Asymptote 2
Φ = Normal Distribution CDF
|
|
|
a = Asymptote
b = Growth Rate
c = Inflection Point
|
|
|
a = Lower Asymptote
b = Upper Asymptote
c = Growth Rate
d = Inflection Point
|
|
|
a = Upper Asymptote
b = Growth Rate
c = Inflection Point
|
|
|
a = Scale
b = Growth Rate
|
|
|
a = Asymptote
b = Scale
c = Growth Rate
|
|
|
a = Scale 1
b = Decay Rate 1
c = Scale 2
d = Decay Rate 2
|
|
|
a = Asymptote
b = Scale 1
c = Decay Rate 1
d = Scale 2
f = Decay Rate 2
|
|
|
a = Asymptote
b = Scale
c = Growth Rate
|
|
|
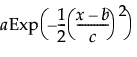
a = Peak Value
b = Critical Point
c = Growth Rate
|
|
|
a = Peak Value
b = Growth Rate
c = Critical Point
|
|
|
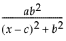
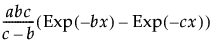
a = Area Under Curve
b = Elimination Rate
c = Absorption Rate
|
|
|
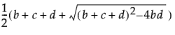
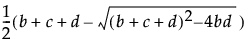
α =
![]() β =
![]() a = Initial Concentration
b = Transfer Rate In
c = Transfer Rate Out
d = Elimination Rate
|
|
|
a = Max Reaction Rate
b = Inverse Affinity
|















































