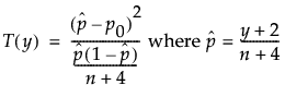
Because there is not a closed-form expression for n or p0, numerical techniques are used to solve for n or p0.
For more information about the adjusted Wald test statistic, see Agresti and Coull (1998). For more information about calculations in JMP, see Barker(2011, Section 3.3).
For more information about the Clopper-Pearson exact method, see Clopper and Pearson (1934) or Agresti and Coull (1998, Section 1).


