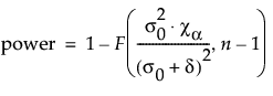
σ0 is the hypothesized standard deviation.
σ is the true standard deviation
σ0 is the hypothesized standard deviation.
σ is the true standard deviation



