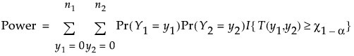
Because there are no closed-form expressions for the ni or δ0, numerical techniques are used to solve for the ni and δ0.
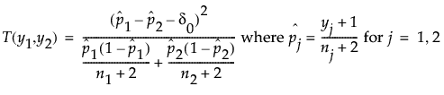
For more information about the adjusted Wald test statistic, see Agresti and Coull (1998). For more information about calculations in JMP, see Barker (2011, Section 3.3).



