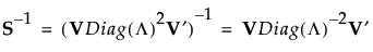
Denote the standardized data matrix by Xs and define S = Xs’Xs. The singular value decomposition allows you to write S as follows:
If S is not of full rank, then Diag(Λ)-1 can be replaced with a generalized inverse, Diag(Λ)-1, where the diagonal elements of Diag(Λ) are replaced by their reciprocals. This defines a generalize inverse of S as follows:


