Galerie von JMP-Graphiken
Erscheinungsdatum: 10/08/2021

Galerie von JMP-Graphiken

Verschiedene Graphiken und ihre Plattformen

Im Folgenden sind eine Vielzahl der Graphen abgebildet, die Sie mit JMP erstellen können. Bei jedem Bild ist die Plattform angegeben, die zu seiner Erstellung verwendet wurde. Weitere Informationen zu den Plattformen sowie zu diesen und anderen Graphen finden Sie in der Dokumentation im Menü Hilfe > Handbücher.

Image shown here

Histogramm

Analysieren > Verteilung

Image shown here

Bivariat

Analysieren > Y nach X anpassen

Image shown here

Einfaktoriell

Analysieren > Y nach X anpassen

Image shown here

Einfaktorieller t Test

Analysieren > Y nach X anpassen

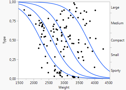
Image shown here

Logistisch

Analysieren > Y nach X anpassen

Image shown here

Mosaikdiagramm

Analysieren > Y nach X anpassen

Image shown here

Paarweise

Analysieren > Spezielle Modelle > Paarweise

Image shown here

Einflussdiagramm

Analysieren > Modell anpassen

Image shown here

Diagramm der KQ-Mittelwerte

Analysieren > Modell anpassen

Image shown here

MANOVA

Analysieren > Modell anpassen

Image shown here

Partition

Analysieren > Vorhersagemodell > Partition

Image shown here

Neuronales Diagramm

Analysieren > Vorhersagemodell > Neuronal

Image shown here

Beobachtete Werte über Vorhersage

Analysieren > Vorhersagemodell > Modellvergleich

Image shown here

Nichtlineare Anpassung

Analysieren > Spezielle Modelle > Nichtlinear

Image shown here

Wirkungsflächenanalyse

Analysieren > Spezielle Modelle > Gauß-Prozess

Image shown here

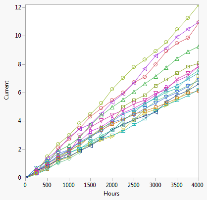
Zeitreihe

Analysieren > Spezielle Modelle > Zeitreihe

Image shown here

Screening

Analysieren > Spezielle Modelle > Spezielle DOE-Modelle > Zweistufiges Screening anpassen

Image shown here

FDR PWert-Plot

Analysieren > Screening > Zielgrößen-Screening

Image shown here

Streudiagramm-Matrix

Analysieren > Multivariate Methoden > Multivariat

Image shown here

Dendrogramm

Analysieren > Clustern > Hierarchisches Cluster

Image shown here

Kohonennetz

Analysieren > Clustern > K-Means-Cluster

Image shown here

Hauptkomponenten

Analysieren > Multivariate Methoden > Hauptkomponenten

Image shown here

Kanonisches Diagramm

Analysieren > Multivariate Methoden > Diskriminanz

Image shown here

Ladungsdiagramme

Analysieren > Multivariate Methoden > Partielle kleinste Quadrate

Image shown here

Xquer- und R-Diagramme

Analysieren > Qualität und Prozess > Qualitätsregelkarte erstellen

Image shown here

Diagramm der Mittelwerte

Analysieren > Qualität und Prozess > Messsystemanalyse

Image shown here

Variabilitätsdiagramm

Analysieren > Qualität und Prozess > Variabilitäts-/attributives Messsystemdiagramm

Image shown here

Zieldiagramm

Analysieren > Qualität und Prozess > Prozessfähigkeit

Image shown here

IR-Regelkarte (Einzelmessung)

Diagramm mit gleitender Spannweite

Analysieren > Qualität und Prozess > Qualitätsregelkarte > IR

Image shown here

Xquer-Regelkarte

Analysieren > Qualität und Prozess > Qualitätsregelkarte > XBar

Image shown here

Pareto-Graphik

Analysieren > Qualität und Prozess > Pareto-Diagramm

Image shown here

Ishikawa-Diagramm

Fischgräten-Diagramm

Analysieren > Qualität und Prozess > Ursache-Wirkungs-Diagramm

Image shown here

Verteilungen vergleichen

Analysieren > Zuverlässigkeit und Lebensdauer > Lebensdauerverteilung

Image shown here

Nichtparametrische Überlagerung

Analysieren > Zuverlässigkeit und Lebendsdauer > Lebensdauer nach X anpassen

Image shown here

Streudiagramm

Analysieren > Zuverlässigkeit und Lebendsdauer > Lebensdauer nach X anpassen

Image shown here

MCF-Diagramm

Analysieren > Zuverlässigkeit und Lebensdauer > Rekurrenzanalyse

Image shown here

Überlagerung

Analysieren > Zuverlässigkeit und Lebensdauer > Degradation

Image shown here

Vorhersageintervall

Analysieren > Zuverlässigkeit und Lebensdauer > Destruktive Degradation

Image shown here

Vorhersage

Analysieren > Zuverlässigkeit und Lebensdauer > Zuverlässigkeitsvorhersage

Image shown here

Abschnittsweiser Weibull NHPP

Analysieren > Zuverlässigkeit und Lebensdauer > Zuverlässigkeitswachstum

Image shown here

Zuverlässigkeitsblockdiagramm

Analysieren > Zuverlässigkeit und Lebensdauer > Zuverlässigkeitsblockdiagramm

Image shown here

Ausfalldiagramm

Analysieren > Zuverlässigkeit und Lebensdauer > Lebensdauer

Image shown here

Lebensdauer-Quantile

Analysieren > Zuverlässigkeit und Lebensdauer > Lebensdauer parametrisch anpassen

Image shown here

Baseline-Lebensdauer

Analysieren > Zuverlässigkeit und Lebensdauer > Proportional Hazards anpassen

Image shown here

Mischungsanalyse

Analysieren > Marktforschung > Kategorial

Image shown here

Faktorladungsdiagramm

Analysieren > Multivariate Methoden > Faktorenanalyse

Image shown here

Vorhersage-Analysediagramm

Analysieren > Marktforschung > Choice

Image shown here

Charakteristikkurven

Analysieren > Multivariate Methoden > Item-Analyse

Image shown here

Multiple Korrespondenzanalyse

Analysieren > Multivariate Methoden > Multiple Korrespondenzanalyse

Image shown here

Uplift-Modell

Analysieren > Marktforschung > Uplift

Image shown here

Duale Graphik

Analysieren > Multivariate Methoden > Item-Analyse

Image shown here

LinienGraphiken

Graph > Graphik erstellen

Image shown here

Box-Plots

Graph > Graphik erstellen

Image shown here

Gestapeltes Balkendiagramm

Graph > Graphik erstellen

Image shown here

Tortendiagramm

Graph > Graphik erstellen

Image shown here

Stab- und Liniendiagramm

Graph > Graphik erstellen

Image shown here

Glätten

Graph > Graphik erstellen

Image shown here

Dreidimensionales Streudiagramm

Graph > 3D-Streudiagramm

Image shown here

Dreidimensionales Streudiagramm

Graph > 3D-Streudiagramm

Image shown here

Konturdiagramm

Graph > Graphik erstellen

Image shown here

Blasendiagramm

Graph > Blasendiagramm

Image shown here

Parallel-Diagramm

Graph > Graphik erstellen

Image shown here

Zellendiagramm

Graph > Zellendiagramm

Image shown here

Treemap

Graph > Graphik erstellen

Image shown here

Streudiagramm-Matrix

Graph > Streudiagramm-Matrix

Image shown here

Ternäres Diagramm

Graph > Ternäres Diagramm

Image shown here

Analysediagramm - Vorhersageanalyse

Graph > Analysediagramm

Image shown here

Konturanalyse

Graph > Konturanalyse

Image shown here

Wirkungsfläche

Graph > Oberflächenplot

Image shown here

Mischungsanalyse

Graph > Mischungsanalyse

Image shown here

Multidimensionale Skalierung

Analysieren > Multivariate Methoden > Multidimensionale Skalierung

Image shown here

MaxDiff

Analysieren > Marktforschung > MaxDiff

Image shown here

Belastungsmusterdiagramm

Analysieren > Zuverlässigkeit und Lebensdauer > Kumulierter Schaden

Image shown here

Simulation reparierbarer Systeme

Analysieren > Zuverlässigkeit und Lebensdauer > Simulation reparierbarer Systeme

Image shown here

Latente Klassenanalyse

Analysieren > Clustern > Latente Klassenanalyse

Image shown here

Prädiktor-Screening

Analysieren > Screening > Prädiktor-Screening

Image shown here

Prozess-Screening

Analysieren > Screening > Prozess-Screening

Image shown here

Text-Explorer

Analysieren > Text-Explorer

Image shown here

Multifaktorenanalyse

Analysieren > Marktforschung > Multifaktorenanalyse

Image shown here

Modellgesteuerte multivariate Qualitätsregelkarte

Analysieren > Qualität und Prozess > Modellgesteuerte multivariate Qualitätsregelkarte

Image shown here

Strukturelle Gleichungsmodelle

Analysieren > Multivariate Methoden > Strukturgleichungsmodelle

Image shown here

Stützvektormaschinen

Analysieren > Vorhersagemodell > Stützvektormaschinen

Möchten Sie weitere Informationen? Habe Fragen? Erhalten Sie Antworten in der JMP-Benutzer-Community (community.jmp.com).