This version of the Help is no longer updated. See JMP.com/help for the latest version.

.
Publication date: 07/30/2020

Between Groups Covariance Matrix

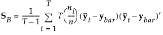
Using the notation in Table 5.2, this matrix is defined as follows:

Want more information? Have questions? Get answers in the JMP User Community (community.jmp.com).