This version of the Help is no longer updated. See JMP.com/help for the latest version.

.
Publication date: 07/30/2020

Normal Quantiles

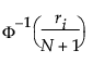
The normal quantile values are computed as follows:

where:

Φ is the cumulative probability distribution function for the normal distribution.

ri is the rank of the ith observation.

N is the number of nonmissing observations.

Want more information? Have questions? Get answers in the JMP User Community (community.jmp.com).