Intraclass Correlation without bias is computed as follows:

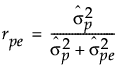
Intraclass Correlation with bias is computed as follows:

Intraclass Correlation with bias and interaction factors is computed as follows:

Probable Error is computed as follows:

Note the following:
= variance estimate for pure error
= variance estimate for product
= variance estimate for bias factors
= variance estimate for interaction factors
Z0.75 = the 75% quantile of standard normal distribution