Statistical Details for the Structural Equation Models Platform
Statistical Details for Summary of Fit Measures
AICc and BICThe formulas for AICc and BIC are as follows:
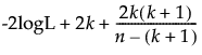
AICc = 
BIC = 
where:
– -2logL is twice the negative log-likelihood.
– n is the sample size.
– k is the number of parameters.
For more information about the likelihood-based measures in the Model Comparisons report, see Likelihood, AICc, and BIC in Fitting Linear Models.
CFIThe comparative fit index (CFI) is calculated as follows:
CFI = 
where:
– f0 is the minimized function value of the independence model.
– fmin is the minimized function value of the fitted model.
For more information about the CFI, see Bentler (1990).
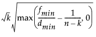
RMSEAThe root mean square error of approximation (RMSEA) is calculated as follows:
RMSEA = 
where:
– n is the sample size.
– k is the number of parameters.
– fmin is the minimized function value of the fitted model.
– dmin is the degrees of freedom of the fitted model.
The confidence limits for RMSEA are computed using the cumulative distribution function of the noncentral chi-square distribution Φ(x|λ, d). Define x = (N - k) fmin. Then the 90% confidence limits are computed as follows:
Lower limit = 
Upper limit = 
where:
– λL satisfies Φ(x|λL, dmin) = 0.95.
– λU satisfies Φ(x|λU, dmin) = 0.05.
For more information about the RMSEA, see Steiger (1989) and Steiger (1990).