O’Brien’s test constructs a dependent variable so that the group means of the new variable equal the group sample variances of the original response. The O’Brien variable is computed as follows:

where n represents the number of yijk observations.
Brown-Forsythe is the model F statistic from an ANOVA on
where
is the median response for the ith level.
The Levene F is the model F statistic from an ANOVA on
where
is the mean response for the ith level.
Bartlett’s test is calculated as follows:
where
and
and ni is the count on the ith level and si2 is the response sample variance on the ith level. The Bartlett statistic has a χ2-distribution. Dividing the Chi-square test statistic by the degrees of freedom results in the reported F value.
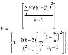
The Welch’s Test F Ratio is computed as follows:
where
,
,
,
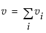
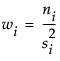
and ni is the count on the ith level,
is the mean response for the ith level, and si2 is the response sample variance for the ith level.
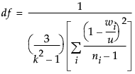
The Welch approximation for the denominator degrees of freedom is as follows:

where wi, ni, and u are defined as in the F ratio formula.