Note: The correlation values and p-values in the Multivariate report are formatted using the conditional formatting settings in Preferences. See Use Conditional Formatting in Using JMP.
The Multivariate red triangle menu contains the following options:
Correlations Multivariate
Shows or hides the Correlations table. The table is a matrix of correlation coefficients that summarizes the strength of the linear relationships between each pair of response (Y) variables. This option is on by default. See Pearson Product-Moment Correlation.
Note: This correlation matrix is calculated by the method that you select in the launch window.
Correlation Probability
Shows or hides the Correlation Probability table. The table is a matrix of p-values. Each p-value corresponds to a test of the null hypothesis that the true correlation between the variables is zero. This is a test of no linear relationship between the two response variables.
CI of Correlations
Shows or hides the two-tailed confidence intervals of the correlations.
Tip: The default confidence coefficient is 95%. Use the Set α Level option to change the confidence coefficient.
Inverse Correlations
Shows or hides the Inverse Corr report, which is the inverse correlation matrix. The diagonal elements of the matrix are a function of how closely the variable is a linear function of the other variables. In the inverse correlation table, the diagonal is the value of 1/(1 – R2). R2 is calculated from the simple linear model regressing that variable on all the other variables. If the multiple correlation is zero, the diagonal inverse element is 1. If the multiple correlation is 1, then the inverse element becomes infinite and is reported missing. For statistical details about inverse correlations, see the Inverse Correlation Matrix.
Partial Correlations
Shows or hides the Partial Corr report, which is the partial correlation matrix. The partial correlation matrix shows the measure of the relationship between a pair of variables after adjusting for the effects of all the other variables. The table is the negative of the inverse correlation matrix, scaled to unit diagonal. This means that the matrix is scaled such that the diagonal elements are equal to one.
Partial Correlation Probability
Shows or hides the Partial Correlation Probability report, which is a matrix of p-values. Each p-value corresponds to a test of the null hypothesis that the true partial correlation between the variables is zero. This is a test of no linear relationship between the two response variables, after adjusting for the effects of the other variables.
Note: The Partial Correlation Probability option is not available when there are not enough degrees of freedom. This can occur when there are more variables than observations.
Covariance Matrix
Shows or hides the covariance matrix, which measures the degree to which a pair of variables change together.
Pairwise Correlations
Shows or hides the Pairwise Correlations table, which lists the Pearson product-moment correlations for each pair of Y variables. The correlations are calculated by the pairwise deletion method. The count values differ if any pair has a missing value for either variable. The Pairwise Correlations report also shows significance probabilities and compares the correlations in a bar chart. All results are based on the pairwise method.
Note: This option excludes rows that are missing for either of the variables under consideration.
Hotelling’s T2 Test
Enables you to conduct a one-sample test for the mean of the multivariate distribution of the variables that you entered as Y. When you select the Hotelling’s T2 Test option, a window appears that enables you to specify the mean vector under the null hypothesis. Enter a hypothesized mean for each variable. The test assumes multivariate normality of the Y variables. The Hotelling’s T2 Test report gives the following information:
Variable
The variables entered as Y.
Mean
The sample mean for each variable.
Hypothesized Mean
The null hypothesis means that you specified.
Test Statistic
The value of Hotelling’s T2 statistic.
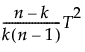
F Ratio
The value of the test statistic. If you have n rows and k variables, the F ratio is given as follows:

Prob > F
The p-value for the test. Under the null hypothesis the F ratio has an F distribution with k and n - k degrees of freedom.
Note: To remove a report, click the red triangle next to Hotelling’s T2 Test and select Remove Test.
Simple Statistics
This menu contains two options that each show or hide simple statistics (mean, standard deviation, sum, minimum, and maximum) for each column. The univariate and multivariate simple statistics can differ when there are missing values present, or when the Robust method is used.
Univariate Simple Statistics
Shows statistics that are calculated on each column, regardless of values or missing values in other columns. These values match those produced by the Distribution platform.
Multivariate Simple Statistics
Shows statistics that correspond to the estimation method selected in the launch window and the presence or absence of missing data. If there are no missing observations, this option is available only for the Robust method. If there are missing observations, this option is available for all estimation methods except for Pairwise. For the REML, ML, or Robust methods, the mean vector and covariance matrix are estimated by the selected method. For the Row-wise method, all rows with at least one missing value are excluded from the calculation of means and variances.
Nonparametric Correlations
This menu contains three nonparametric measures: Spearman’s Rho, Kendall’s Tau, and Hoeffding’s D. Each option shows or hides a nonparametric report for the corresponding measure. See Nonparametric Correlations.
Set α Level
You can specify any alpha value for the correlation confidence intervals. Four alpha values are listed: 0.01, 0.05, 0.10, and 0.50. Select Other to enter any other value.
Scatterplot Matrix
Shows or hides a scatterplot matrix of each pair of response variables. This option is on by default. See Scatterplot Matrix.
Color Maps
The Color Maps menu contains three types of color maps. Each option in the menu shows or hides a color map of the corresponding type. The types of color maps are as follows:
Color Map On Correlations
Produces a cell plot that shows the correlations among variables on a scale from red (+1) to blue (-1).
Color Map On p-values
Produces a cell plot that shows the significance of the correlations on a scale from p = 0 (red) to p = 1 (blue).
Cluster the Correlations
Produces a cell plot that clusters together similar variables. The correlations are the same as for Color Map on Correlations, but the positioning of the variables might be different.
Color Map on Pairwise Correlations
Produces a cell plot that shows the pairwise correlations among variables on a scale from red (+1) to blue (-1).
Color Map on Spearman’s ρ
Produces a cell plot that shows the Spearman’s ρ nonparametric correlations among the variables on a scale from red (+1) to blue (-1).
Color Map on Kendall’s τ
Produces a cell plot that shows the Kendall’s τ nonparametric correlations among the variables on a scale from red (+1) to blue (-1).
Color Map on Hoeffding’s D
Produces a cell plot that shows the Hoeffding’s D nonparametric correlations among the variables on a scale from red (+1) to blue (-1).
Parallel Coord Plot
Shows or hides a parallel coordinate plot of the variables.
Ellipsoid 3D Plot
Shows or hides a three-dimensional scatterplot with a 95% confidence ellipsoid. You are prompted to specify three variables and their corresponding axes when you select this option.
Principal Components
This menu contains options to show or hide a principal components report. You can select a principal components report based on correlations, covariances, or unscaled values. Selecting one of these options when a principal components report is already shown changes the report to the new option. Select None to remove the report.
Principal components is a technique that calculates linear combinations of the original variables. The first principal component has maximum variation, the second principal component has the next most variation, subject to being orthogonal to the first, and so on. See Principal Components.
Outlier Analysis
This menu contains options that each show or hide plots that measure distance in the multivariate sense using one of the following methods: the Mahalanobis distance, jackknife distances, and the T2 statistic. See Outlier Analysis.
Item Reliability
This menu contains options that each show or hide an item reliability report. The reports indicate how consistently a set of instruments measures an overall response, using either Cronbach’s α or Standardized α. See Item Reliability.
Impute Missing Data
(Available only if the data table contains missing values.) Produces a new data table that duplicates your data table and replaces all missing values with estimated values. See Impute Missing Data.
Save Imputed Formulas
(Available only if the data table contains missing values.) For columns that contain missing values, saves new columns to the data table that contain the formulas used to estimate the missing values. The new columns are called Imputed_<Column Name>.
See Local Data Filter, Redo Menus, and Save Script Menus in Using JMP for more information about the following options:
Local Data Filter
Shows or hides the local data filter that enables you to filter the data used in a specific report.
Redo
Contains options that enable you to repeat or relaunch the analysis. In platforms that support the feature, the Automatic Recalc option immediately reflects the changes that you make to the data table in the corresponding report window.
Save Script
Contains options that enable you to save a script that reproduces the report to several destinations.
Save By-Group Script
Contains options that enable you to save a script that reproduces the platform report for all levels of a By variable to several destinations. Available only when a By variable is specified in the launch window.