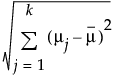
The k sample mean calculations are based on the following:

where:
α is the significance level
σ is the common standard deviation among the k groups.
n is the sample size per group.
p is the number of extra parameters.
is the mean of the k group prospective means
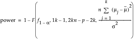
f1-α is the (1 - α)th quantile of the F(k - 1, kn - p - k) distribution.
F(x, df1, df2, nc) is the cumulative distribution function of the non-central F distribution with degrees of freedom df1 and df2 and non-centrality parameter nc evaluated at x.
Numerical solutions are used to solve for n.
The difference in means is calculated as follows:

For more information about calculations in JMP, see Barker (2011, Section 2.3).