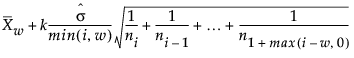
Control limits for UWMA charts are computed for each subgroup i as follows.
LCLi = 
UCLi = 
where:
w is the span parameter (number of terms in moving average)
ni is the sample size of the ith subgroup
k is the number of standard deviations
is the weighted average of subgroup means
is the estimated process standard deviation
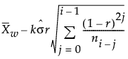
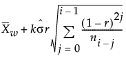
Control limits for EWMA charts are computed as follows:
LCL = 
UCL = 
where:
r is the EWMA weight parameter (0 < r ≤ 1)
xij is the jth measurement in the ith subgroup, with j = 1, 2, 3,..., ni
ni is the sample size of the ith subgroup
k is the number of standard deviations
is the weighted average of subgroup means
is the estimated process standard deviation