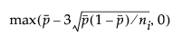
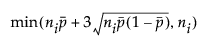
The lower and upper control limits, LCL, and UCL, respectively, are computed as:
P chart LCL = 
P chart UCL = 
NP chart LCL = 
NP chart UCL = 
where:
is the average proportion of nonconforming items taken across subgroups

ni is the number of items in the ith subgroup