For the latest version of JMP Help, visit JMP.com/help.


Publication date: 04/30/2021

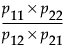
Odds Ratio Option

The Odds Ratio is calculated as follows:

where pij is the count in the ith row and jth column of the 2x2 table.

Want more information? Have questions? Get answers in the JMP User Community (community.jmp.com).