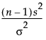
Here is the formula for calculating the Test Statistic:

The Test Statistic is distributed as a Chi-square variable with n - 1 degrees of freedom when the population is normal.
The Min PValue is the p-value of the two-tailed test, and is calculated as follows:
2*min(p1,p2)
where p1 is the lower one-tail p-value and p2 is the upper one-tail p-value.