Statistical Details for DistributionsThe distributions fit by the Generalized Regression personality are given below in terms of the parameters used in model fitting. Although it is not specifically stated as part of their descriptions, the Generalized Regression personality enables you to specify non-integer values for the discrete distributions.
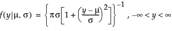
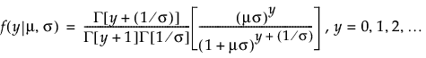
Continuous Distributions




















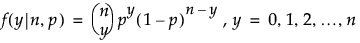
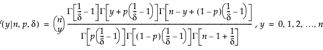
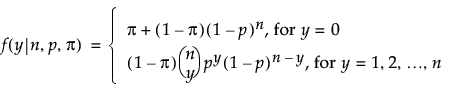
Discrete Distributions











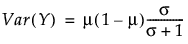
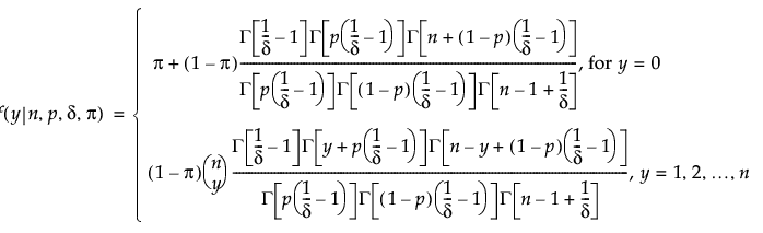
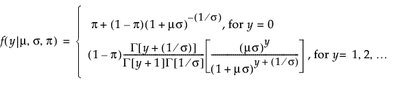
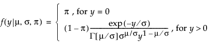
Zero-Inflated Distributions













