Statistical Details for the Structural Equation Models Platform
Statistical Details for Summary of Fit Measures
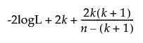
AICc and BICThe formulas for AICc and BIC are as follows:
AICc = 
BIC = 
where:
– -2logL is twice the negative log-likelihood.
– n is the sample size.
– k is the number of parameters.
For more information about the likelihood-based measures in the Model Comparisons report, see Likelihood, AICc, and BIC in Fitting Linear Models.
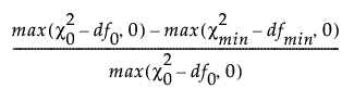
CFIThe comparative fit index (CFI) is calculated as follows:
CFI = 
where:
–
is the chi-square statistic of the independence model.
– df0 is the degrees of freedom of the independence model.
–
is the chi-square statistic of the fitted model.
– dfmin is the degrees of freedom of the fitted model.
For more information about the CFI, see Bentler (1990).
TLIThe Tucker-Lewis index (TLI) is defined as follows:
TLI = 
where:
–
is the chi-square statistic of the independence model.
– df0 is the degrees of freedom of the independence model.
–
is the chi-square statistic of the fitted model.
– dfmin is the degrees of freedom of the fitted model.
For more information, see West et al. (2012).
NFIThe Bentler-Bonett normed fit index (NFI) is defined as follows:
NFI = 
where:
–
is the chi-square statistic of the independence model.
–
is the chi-square statistic of the fitted model.
For more information, see West et al. (2012).
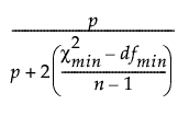
Revised GFI and Revised AGFIThe revised goodness-of-fit index (Revised GFI) is defined as follows:
Revised GFI = 
where:
–
is the chi-square statistic of the fitted model.
– dfmin is the degrees of freedom of the fitted model.
– p is number of observed variables in the fitted model.
– n is the sample size.
The revised adjusted goodness-of-fit index (Revised AGFI) is defined as follows:
Revised AGFI = 
where:
– p* is the number of unique entries in the covariance matrix and the mean vector of the observed variables.
– dfmin is the degrees of freedom of the fitted model.
For more information, see West et al. (2012).
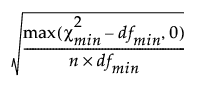
RMSEAThe root mean square error of approximation (RMSEA) is calculated as follows:
RMSEA = 
where:
– n is the sample size.
– dfmin is the degrees of freedom of the fitted model.
–
is the chi-square statistic of the fitted model.
The confidence limits for RMSEA are computed using the cumulative distribution function of the noncentral chi-square distribution Φ(x|λ, d). The 90% confidence limits are computed as follows:
Lower limit = 
Upper limit = 
where:
– λL satisfies Φ(
|λL, dfmin) = 0.95.
– λU satisfies Φ(
|λU, dfmin) = 0.05.
For more information, see Maydeu-Olivares et al. (2017).
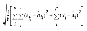
RMR and SRMRThe formulas for RMR and SRMR are as follows:
RMR = 
SRMR = 
where:
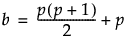
– p is the number of manifest variables.
– b is the number of unique entries in the covariance matrix and the mean vector of the observed variables:

– sij is the (i, j)th element of the input covariance matrix.
–
is the (i, j)th element of the predicted covariance matrix.
–
is the ith element of the vector of sample means.
–
is the ith element of the vector predicted means.
For more information, see the CALIS Procedure chapter in SAS Institute Inc. (2018a).