Use the Interval Explorer for Two Independent Sample Proportions to determine a sample size for a confidence interval for the difference in two proportions, for log relative risk, or for log odds. Select DOE > Sample Size Explorers > Confidence Intervals > Margin of Error for Two Independent Sample Proportions. Explore the trade offs between variability assumptions, sample size, significance, and the margin of error for your interval.
Set study assumptions and explore sample sizes using the radio buttons, text boxes, and sliders. The curve updates as you make changes to the settings. Alternatively, change settings by dragging the cross hairs on the curve or adjusting the values in the axis text boxes.
Interval Type
Bound
Specifies one side of the interval (upper or lower bound)
Interval
Specifies a two-sided interval.
Comparison Method
Difference in Proportions
Specifies a confidence interval for the difference in two proportions (p1 -p2).
Log Relative Risk
Specifies a confidence interval for the relative risk (p1/p2) on a log scale.
Log Odds
Specifies a confidence interval for the odds (p1/(1-p2)) on a log scale.
Fixed Parameters
Alpha
Specifies the confidence level, 1 - Alpha. The default alpha level is 0.05 for a 95% confidence interval.
Interval Parameters
Parameters that are inter-related and update as you make changes.
Group 1 Proportion
Specifies the assumed proportion for Group 1.
Group 2 Proportion
Specifies the assumed proportion for Group 2.
Group 1 Sample Size
Specifies the number of observations (runs, experimental units, or samples) needed for Group 1 in your experiment. Select Lock to lock the Group 1 sample size.
Group 2 Sample Size
Specifies the number of observations (runs, experimental units, or samples) needed for Group 2 in your experiment. Select Lock to lock the Group 2 sample size.
Total Sample Size
Specifies the total number of observations (runs, experimental units, or samples) needed for your experiment. The margin of error curve is based on total sample size.
Tip: Adjusting the sample size for one group impacts the sample size for the second group while the total sample size remains unchanged. Adjusting the total sample size adjusts the two groups proportionally, unless one group is locked. Only one group sample size can be locked.
Margin of Error
Specifies the half-width of the interval. With all other parameters fixed, margin of error decreases as sample size increases.
Bound Size
Specifies the bound of the interval. With all other parameters fixed, margin of error decreases as sample size increases.
Save Settings
Saves the current settings to the Saved Settings table. This enables you to save a set of alternative study plans. See Saved Settings in the Sample Size Explorers.
Make Data Collection Table
Creates a new data table that you can use for data collection.
The calculations for each interval type are based on normal approximations.
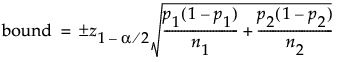
For intervals about the difference in proportions the margin of error (MOE) is calculated as:

The bounds are calculated as:

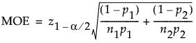
For the logarithm of the relative risk the margin of error (MOE) is calculated as:

The bounds are calculated as:

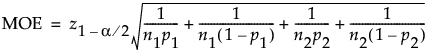
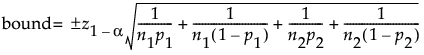
For the logarithm of the relative risk the margin of error is calculated as:

The bounds are calculated as:
