The prediction intervals are defined as follows:
• For m future observations:
for 
• For the mean of m future observations:
for
.
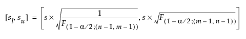
• For the standard deviation of m future observations:
for 
where m = number of future observations, and n = number of points in current analysis sample.
• The one-sided intervals are formed by using 1-α in the quantile functions.
See Meeker et al. (2017, ch. 4).