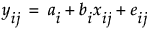
Random Coefficient ModelThe standard random coefficient model specifies a random intercept and slope for each subject. Let yij denote the measurement of the jth observation on the ith subject. Then the random coefficient model can be specified as follows:

where




and

You can reformulate the model to reflect the fixed and random components that are estimated:

where


and

with G and eij defined as above.