Statistical Details for Distributions
The distributions fit by the Generalized Regression personality are given below in terms of the parameters used in model fitting. Although it is not specifically stated as part of their descriptions, the Generalized Regression personality enables you to specify non-integer values for the discrete distributions.
Continuous Distributions
Normal Distribution



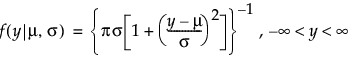
Cauchy Distribution



t(5) Distribution



Exponential Distribution



Gamma Distribution



Weibull Distribution



LogNormal Distribution



Beta Distribution



Discrete Distributions
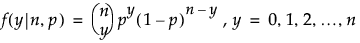
Binomial Distribution



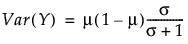
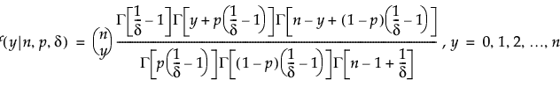
Beta Binomial Distribution



Poisson Distribution



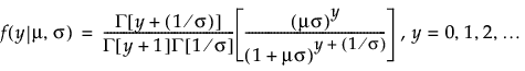
Negative Binomial Distribution



Zero-Inflated Distributions
Zero-Inflated Binomial Distribution



Zero-Inflated Beta Binomial Distribution



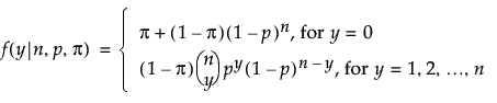
Zero-Inflated Poisson Distribution



Zero-Inflated Negative Binomial Distribution



Zero-Inflated Gamma Distribution


