The two sample mean calculations are based on the traditional full versus reduced F test for the following hypothesis test:

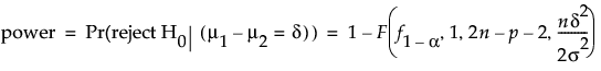
JMP calculates power as follows:

where:
α is the significance level.
n is the sample size per group.
p is the number of extra parameters.
δ is the difference to detect.
f1-α is the (1 - α)th quantile of the F(1, 2n - p - 2) distribution.
F(x, df1, df2, nc) is the cumulative distribution function of the non-central F distribution with degrees of freedom df1 and df2 and non-centrality parameter nc evaluated at x.
Because analytical solutions for δ and n do not exist, numerical solutions are used to solve for them.
For more information about calculations in JMP, see Barker (2011, Section 2.2).