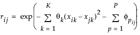
The saved variance formula uses the previously defined parameterization of R, except when the model includes categorical predictors. When the Gaussian Process model includes categorical predictors, the saved variance formula uses the following parameterization of R:

where
and all other variables are as previously defined.