A column with no target can have both upper and lower specification limits, or only a single specification limit. This section uses the notation defined in Notation for Goal Plots and Capability Box Plots.
When no target is specified for the jth column, the capability box plot is based on the following values for the transformed observations:

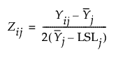
Suppose that only the lower specification limit is specified. (The case where only the upper specification limit is specified in a similar way.)
When no target is specified for the jth column, the capability box plot is based on the following values for the transformed observations:

Note: When a column has only one specification limit and no target value, and the sample mean falls outside the specification interval, no capability box plot for that column is plotted.