Use the Interval Explorer for one sample mean to determine a sample size for a confidence, prediction, or tolerance interval. Select DOE > Sample Size Explorers > Confidence Intervals > Margin of Error for One Sample Mean. Explore the trade offs between variability assumptions, sample size, significance, and the margin of error.
Set study assumptions and explore sample sizes using the radio buttons, text boxes, and sliders. The curve updates as you make changes to the settings. Alternatively, change settings by dragging the cross hairs on the curve or adjusting the values in the axis text boxes.
Interval Purpose
Confidence
Specifies a confidence interval for a mean.
Prediction
Specifies a prediction interval for one future observation.
Tolerance
Specifies a tolerance interval to cover a proportion of the population.
Interval Type
Bound
Specifies a one-sided interval (upper or lower bound)
Interval
Specifies a two-sided interval.
Fixed Parameters
Alpha
Specifies the confidence level is 1 - alpha. The default alpha level is 0.05 for a 95% confidence interval.
Std Dev (σ)
Specifies the assumed population standard deviation.
Proportion
(Available only when Tolerance is selected for Interval Purpose.) Specifies the proportion of the population for the tolerance interval to cover.
Population standard deviation known
Specifies calculations based on a known, rather than assumed, population standard deviation.
Interval Parameters
Parameters that are inter-related and update as you make changes.
Sample Size
Specifies the total number of observations (runs, experimental units, or samples) needed to construct your interval.
Margin of Error
(Available only when Interval is selected for Interval Type .) Specifies the half-width of the interval. With all other parameters fixed, margin of error decreases as sample size increases.
Bound Size
(Available only when Bound is selected for Interval Type.) Specifies the distance from the bound to the estimate. With all other parameters fixed, the bound decreases as sample size increases.
Save Settings
Saves the current settings to the Saved Settings table. This enables you to save a set of alternative study plans. See Saved Settings in the Sample Size Explorers.
Make Data Collection Table
Creates a new data table that you can use for data collection.
The calculation for each interval type uses the standard normal-based procedures if σ is known and t distribution procedures or approximations otherwise.
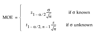
The margin of error (MOE) for confidence intervals is calculated as follows:

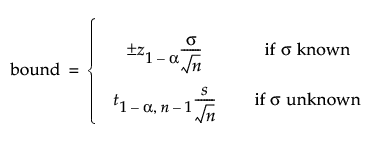
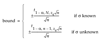
The bound is calculated as follows:

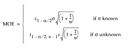
The margin of error (MOE) for prediction intervals is calculated as follows:

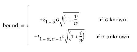
The bound is calculated as follows:

For the tolerance interval on a proportion q of the population, the margin of error or bound is computed based on approximate procedures described in Krishnamoorthy and Mathew (2009).
The margin of error (MOE) for tolerance intervals is calculated as follows:

The bound is calculated as follows:

where N is a suitably large integer value to represent asymptotic behavior. JMP sets the value of N to 2000.