Use the Interval Explorer for One Sample Variance to determine a sample size for a confidence interval. Select DOE > Sample Size Explorers > Confidence Intervals > Margin of Error for One Sample Variance. Explore the trade offs between sample size, significance, and the margin of error for your interval.
Set study assumptions and explore sample sizes using the radio buttons, text boxes, and sliders. The curve updates as you make changes to the settings. Alternatively, change settings by dragging the cross hairs on the curve or adjusting the values in the axis text boxes.
Interval Type
Lower Bound
Specifies a one-sided lower interval.
Upper Bound
Specifies a one-sided upper interval.
Interval
Specifies a two-sided interval.
Fixed Parameters
Alpha
Specifies the confidence level, 1 - Alpha. The default alpha level is 0.05 for a 95% confidence interval.
Interval Parameters
Parameters that are inter-related and update as you make changes.
Sample Size
Specifies the total number of observations (runs, experimental units, or samples) needed to construct your interval.
Interval Width
Specifies the full width of the interval. With all other parameters fixed, interval width decreases as sample size increases.
Save Settings
Saves the current settings to the Saved Settings table. This enables you to save a set of alternative study plans. See Saved Settings in the Sample Size Explorers.
Make Data Collection Table
Creates a new data table that you can use for data collection.
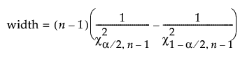
The interval calculations for capturing a population variance is based on the Χ2 distribution. Note that the interval bounds are not symmetric around the sample estimate.
The interval width is computed as follows:

The lower bound is computed as follows:

The upper bound is computed as follows:
