We strongly encourage you to center polynomials.
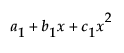
Anywhere you have a complete polynomial term that is linear in the parameters, it is always good to center the polynomials. This improves the condition of the numerical surface for optimization. For example, if you have an expression like the following:

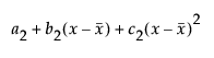
you should transform it to

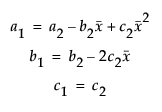
The two models are equivalent, apart from a transformation of the parameters, but the second model is far easier to fit if the model is nonlinear.
The transformation of the parameters is easy to solve.

If the number of iterations still goes to the maximum, increase the maximum number of iterations or relax one of the convergence criteria.
There is really no one omnibus optimization method that works well on all problems. JMP has options like Newton, QuasiNewton BFGS, QuasiNewton SR1, and Numeric Derivatives Only to expand the range of problems that are solvable by the Nonlinear Platform.
If the default settings are unable to converge to the solution for a particular problem, using various combinations of these settings to increase the odds of obtaining convergence.
Some models are very sensitive to starting values of the parameters. Working on new starting values is often effective. Edit the starting values and click Reset to see the effect. The plot often helps. Use the sliders to visually modify the curve to fit better. The parameter profilers can help, but might be too slow for anything but small data sets.