When the Partial Least Square personality is selected in the Fit Model window, the Standardize X option is selected by default. This ensures that all columns entered as model effects and that all columns that are involved in an interaction or polynomial term are standardized.
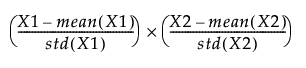
Suppose that you have two columns, X1 and X2, and you enter the interaction term X1*X2 as a model effect in the Fit Model window. When the Standardize X option is selected, both X1 and X2 are centered and scaled before forming the interaction term. The interaction term that is formed is calculated as follows:

All model effects are then centered or scaled, in accordance with your selections of the Centering and Scaling options, prior to inclusion in the model.
If the Standardize X option is not selected, and Centering and Scaling are both selected, then the term that is entered into the model is calculated as follows:
