The one proportion sample size computations use exact methods based on the binomial distribution. Exact calculations guarantee that the stated power level is obtained.
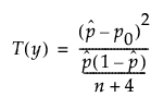
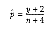
The exact Agresti-Coull method uses the adjusted Wald-based test statistic. JMP calculates power under the two-sided null hypothesis as follows:

where:


and 0 otherwise, and
χ1-α is the (1 - α)thquantile of the χ12 distribution.
Because there is not a closed-form expression for n or p0, numerical techniques are used to solve for n or p0.
For more information about the adjusted Wald test statistic, see Agresti and Coull (1998). For more information about calculations in JMP, see Barker (2011, Section 3.3).
The exact Clopper-Pearson method is based on the binomial distribution. This method results in an alpha level equal to or greater than the stated level. The Clopper-Pearson method is more conservative (larger sample size) than the Agresti-Coull method.
The exact Clopper-Pearson method uses the binomial distribution directly. Numerical techniques are used to solve for the unknown parameter.
For more information about the Clopper-Pearson exact method, see Clopper and Pearson (1934) or Agresti and Coull (1998, Section 1).