For the latest version of JMP Help, visit JMP.com/help.


Publication date: 11/10/2021

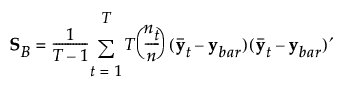
Between Groups Covariance Matrix

Using the notation in Table 5.2, this matrix is defined as follows:

Equation shown here

Want more information? Have questions? Get answers in the JMP User Community (community.jmp.com).