For the latest version of JMP Help, visit JMP.com/help.


Publication date: 11/10/2021

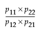
Odds Ratio Option

The Odds Ratio is calculated as follows:

Equation shown here

where pij is the count in the ith row and jth column of the 2x2 table.

Want more information? Have questions? Get answers in the JMP User Community (community.jmp.com).