Statistical Details for Distributions
The distributions fit by the Generalized Regression personality are given below in terms of the parameters used in model fitting. Although it is not specifically stated as part of their descriptions, the Generalized Regression personality enables you to specify non-integer values for the discrete distributions.
Continuous Distributions
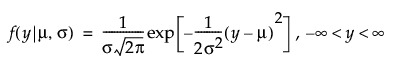
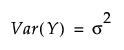
Normal Distribution



Cauchy Distribution



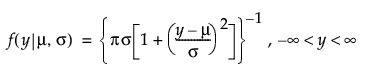
t(5) Distribution



Exponential Distribution



Gamma Distribution



Weibull Distribution



LogNormal Distribution



Beta Distribution



Discrete Distributions
Binomial Distribution



Beta Binomial Distribution



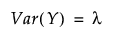
Poisson Distribution



Negative Binomial Distribution



Zero-Inflated Distributions
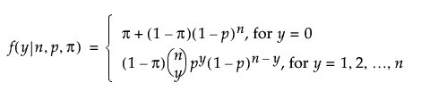
Zero-Inflated Binomial Distribution



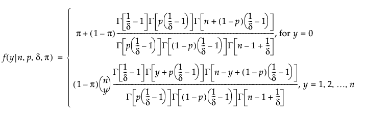
Zero-Inflated Beta Binomial Distribution



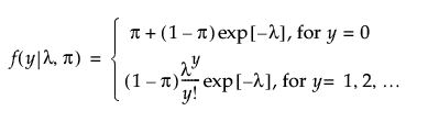
Zero-Inflated Poisson Distribution



Zero-Inflated Negative Binomial Distribution



Zero-Inflated Gamma Distribution


