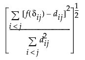
The following notation is used to define Stress:
• i, j - indexes for the number of objects
• dij - the derived distance between objects i and j
δij - the observed relative distance between objects i and j
• f(δrs) - transformation function for the distance
The Stress function is defined as follows:
Stress = 
This measure of stress is also known as Kruskal’s Stress, Type I, or simply Stress1.